Longwave Flux Divergence

Objective

In ENVI-met versions below V3.1, the effect of longwave flux divergence was taken into account only for the ground and leaf surfaces, but not for the free air itself. As the longwave fluxes inside urban environments are very complex and not only driven by vertical fluxes but also by horizontal fluxes, it was considered to be too complex to be included in the model.
However, recent applications have indicated, that ENVI-met has a tendency to underestimate the dynamics of the diurnal temperature amplitude. This effect has to reasons:

  • running ENVI-met in an non-forced (or non-nested) way often underestimates the dynamic of air temperature because larger regional effects are not taken into account
  • heating and cooling of air layers due to a divergence of vertical longwave radiation are not included in the temperature equations

It is not easy to estimate how large the effect of the second aspect alone on the dynamics of air temperature actually is because several counter-acting mechanisms exists. But it is sure that the results of ENVI-met have improved after the introduction of the longwave flux divergence.

Methodology

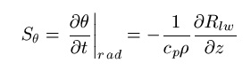
The effects of longwave flux divergence on air temperature are realised using an additional source-/sink term in the prognostic equation for air temperature:

Source-/sink term in the prognostic equation of air temperature

Here, Rlw is the absorbed longwave radiation inside the (thin) atmospheric layer. The absorption is a function of the vapour content of the layer and is calculated from the divergence of the upward and downward fluxes at the top and the bottom of the layer (see figure below).
The resulting complex equations and vertical integrations can be simplified significantly, if a thermal isotropy of the atmosphere is assumed. In this case, only three reference temperatures are needed: the temperature of the air layer concerned, the surface temperature of the underlying soil and the temperature of the upper atmosphere. Doing so, the problem of longwave flux divergence can be transformed into a problem of emissity divergence, which can be solved easily when the vapour contend of the air layers is known.

Vertical intergration of vapour and longwave fluxes in ENVI-met. Upward flux left, downward flux right

The figure above shows, how the atmospheric layers of ENVI-met are used to calculate the emissivity of the single layers.
m is the water amount of the respective atmosphere without the layer analysed and m+Δz is the amount with the layer counted. The resulting emissivity e can then be calculated from empirical formulas.

This formulation does not take into account the effect of horizontal longwave fluxes, nor the effects of vegetation (only implicitly through air and surface temperatures). But I think it is better than nothing.


← go back to Knowledge Base Index
See also: ()


This website uses cookies. By using the website, you agree with storing cookies on your computer. Also you acknowledge that you have read and understand our Privacy Policy. If you do not agree leave the website.More information about cookies